LED光源作为一种节能环保光源,在颜色检测领域有着广泛的应用,特别是在标准光源箱等颜色检测设备中。显色性是评价LED光源的一项重要的颜色指标,它影响着颜色评定结果的准确性,因此对其显色性进行评价有着重要的意义。本文对白光LED光源CIE显色性评价缺陷及CQS评价方法做了介绍。

白光LED光源CIE显色性评价方法的缺点:
白光LED的光谱与传统光源光谱有很大区别,在使用CIE推荐的CRI方法评价光源显色性时存在表征不准确的问题,主要体现在人眼对显色性的判断与 CRI指数数值偏离,甚至出现显色指数低的LED比显色指数高的LED具有更好显色性的情况。
CIE177:2007《白光LED显色性》介绍了对于白光LED显色性研究的最新进展,由美国国家标准与技术研究院提出的色度品质法(CQS)是其中的典型代表,它也采用了色偏离比较法,但在检验色样选择上采取了一套由15种高饱和颜色组成的新的检验色样,如下图所示:

这种检验色样的选择主要是考虑对可见光谱区间380~780nm中各波段都有较好的显色性,这样对于混合颜色的显色性也能相应的得到保障。
白光LED光源显色性之颜色质量指数CQS评价方法:
CQS评价体系在颜色的还原性之外,还包含了人对颜色的偏好度,和CRI一样CQS也采用了测色法,首先通过计算被测光源和参考光源分别照明标准颜色样本时的颜色空间来计算色差,在计算被测光源的显色性指数。但CQS采用了不同的颜色样本和新的计算方法,主要改进如下:
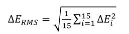
CQS使用了15种高饱和度色彩的标准颜色样品。相关的研究显示:如果某一光源对高饱和度色彩的颜色样品显色效果好的话,则该光源对低饱和色彩的颜色样品的显色效果也会很好。对于上述15中色样的颜色差异程度取15个数值的均方根,其表达式为:

从上式可以看到,对每个数据先进行了平方,再去其算数平均值,这使得颜色差异的权重得到增强;如果待测光源对某一两个颜色样品的显色性很差,那么最终的计算结果将受到很大的影响。
计算特殊显色指数时使用如下方法:
