光源显色性是光源重要的颜色指标,不同的光源由于光谱能量分布的不同,在不同光源下看到的物体的颜色就会有所差异。光源显色性越高,物体颜色显现越逼真,反之则失真。对光源的显色性进行评价,是将光源的显色能力用数字进行度量。本文对光源显色性评价方法之CIE显色性评价方法做了介绍。

光源显色性评价方法:
光源的显色性,指光源还原物体本来颜色的能力。显色指数目前已有40多年的历史。通常认为太阳光照射下物体的颜色为自然色,光源显色性越高,则光源对自然色的还原程度越高,光源显色性越低,则人们见到的颜色越偏离自然色。显色评价,即通过一定的计算方法,将光源的显色能力用一定的数值进行度量。以往的颜色评价方法主要分为:色差型、色域型、色差色域型。
最早使用的显色评价方法的是国际照明学会CIE提出的显色指数CRI,主要通过根据待测光源与参照光源对颜色样品的产生色差大小进行评价,即能够完全还原物体颜色的光源显色性为100,提高或降低饱和度都会导致色差增大。之后出现了一些新的评价方法,虽然在色差计算上更加科学,但评价原则与CRI相同。
光源CIE显色性评价方法:
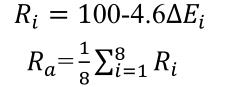
CRI是第一个显色性评价指标,即便过了几十年,依旧被广泛使用。CIE使用14块孟塞尔色样作为标准颜色样品,规定使用的参考光源使Planck辐射体或者辐射体D,令参考光影的显色指数为100。随后分别计算待测光源与参照光源在各个色卡上的色差,最后推导出显色指标Ra的公式。对于某一标准颜色样品的显色指数为特殊显色指数Ri,然后计算所选的前8个标准样品的显色指数,而后对它们取算术平均值,然后求得一般显色指数Ra,Ra即是我们最常用的显色指数,表达式如下:

光源CIE显色性评价方法的局限性:
CIE规定的参照照明体是与待测光源的相关色温最接近的黑体或标准照明体D,它们都是辐射连续光谱的光源,色温发生变化时,其白身的光谱功率分布发生变化,色表也会相应发生变化而带有彩色成分,用其作为参照照明体存在疑问。
人们不一定最喜欢CIE所规定的参考光源照明时的颜色,这一点已有学者证实。例如用色温很低的白炽灯照射绿色的树叶,由于掺杂了大量的黄色成分,所以并不一定是最好的选择。那么黑体辐射或标准照明体D的显色性不一定是最好的,而其显色指数却规定为最佳值Ra=100。
CIE规定的14种试验色样品,1~8号颜色样品是从盂孟塞尔颜色图册巾选出来的明度为6,具有中等彩度,在U-V系统巾等距离间隔颜色样品,许多人认为它的标准色板数太少,人们熟知的颜色为皮肤、树叶、食品等,它们的颜色极为重要,但它们都被排除在一般显色指数之外。虽然CIE还有9~14号色饱和度较高的6块色板,虽然有9~14号标准色板用于计算特殊显色指数,但它们并不包含在一般显色指数Ra之中。