Lab颜色空间怎么理解?Lab颜色空间是CIE规定的一个用于颜色描述的均匀颜色空间。在该颜色空间中,用三维坐标来对颜色进行定量的描述,其中L表示明度,a和b表示色度。目前许多的色差公式,都是基于Lab颜色空间为基础的。本文对Lab颜色空间的含义及基于Lab颜色空间的色差公式做了介绍,感兴趣的朋友可以了解一下!

Lab颜色空间怎么理解?
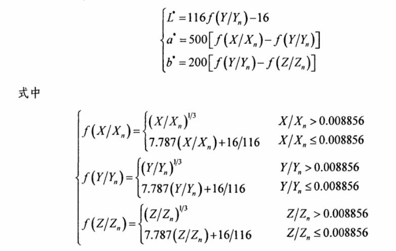
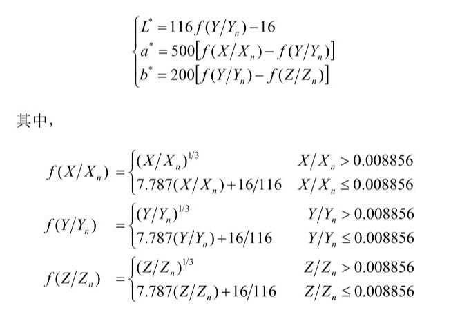
CIE1976L*a*b*颜色空间,也称为CIELAB颜色空间,该颜色空间是由三个通道组成:L*通道表示明度,其取值范围是0~100,数值越大颜色的明度值越大;a*通道和b*通道是两个色度通道,其中a*通道表示颜色的红绿反应,b*通道表示颜色的黄蓝反应,a*和b*的取值范围为-128-127,对于a*来讲,数值越大颜色越红,数值越小颜色越绿;对于b*值来说,b*值越大颜色越发黄,否则越偏蓝。作为该空间三维直角坐标系的明度L*和色品坐标a*、b*的计算公式为:

其中,X、Y、Z为颜色样品的三刺激值,Xn、Yn、Zn为CIE标准照明体照射在完全漫反射体上,然后反射到观察者眼中的三刺激值,其中Yn=100,当颜色样品的尺度小于4°观察视场时,应采用CIE1931XYZ标准色度系统;而当颜色样品的尺度大于4°观察视场时,则采用CIE1964XYZ标准色度系统。
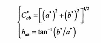
在CIELAB颜色空间中,有一组与心理量近似对应的感知属性,即明度L*、彩度C*ab和色调角hab。颜色样品的明度L*与CIELAB空间中的明度指数L*是一致的。彩度C*ab则是在CIELAB空间的等明度面上,颜色样品的色品坐标(a*,b*)到坐标原点的距离。
利用下列公式可以分别算出颜色样品在CIELAB均匀颜色空间中的彩度和色调角:

对于色调角hab,当a*>0且b*>0 时,0°
基于Lab颜色空间的色差公式介绍:
1.CIELAB色差公式
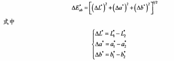
在CIELAB颜色空间中,两个颜色(L1*,a1*,b1*)和(L2*,a2*,b2*)之间的色差可以用欧氏距离来表示:

其中L*是CIELAB空间的明度值,a*,b*为色品坐标,△L*、△a*和△b*分别是CIELAB空间中三个标尺的差值。
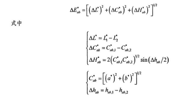
色差△E*ab,也可以用明度差△L*、彩度差△C*ab色调差△H*ab定义,即:

如果CIELAB空间是等视觉均匀的,其对应的视觉容差在该颜色空间中应当是一个球形,并且在颜色空间的各个区域都应具有相同的半径。但实际上,在CIELAB空间中用椭球来表示颜色中心所对应的视觉容差更为合适。虽然这些色度椭球的半轴比CIExy色品图上色度椭圆的半轴更为均匀,但是在尺度大小上仍然存在着明显的差异,并随着彩度值的增加,椭球的半轴随之变大,尤其是椭球的长半轴。虽然CIELAB色差公式对中小色差的预测性能与目视观察结果之间存在较大差异,但相对于其后的一些色差公式而言,其表达式极为简单,并且对大色差尚有较好的预测性能,因此在现今工业生产中仍被广泛采用。
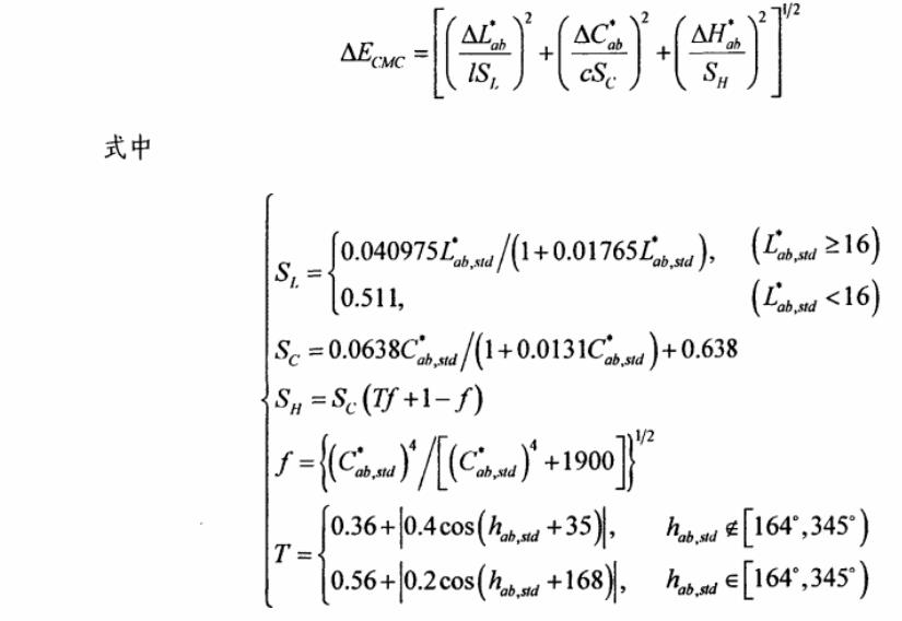
2.CMC(l:c)色差公式
在修正CIELAB色差公式的基础上,CMC色差公式根据视觉关系调整了每个色调方向的色差椭圆大小和形状;改善了彩度差变化与明度之间的关系,使不同彩度的颜色具有不同的色差容限。非彩色区域附近的椭圆较小,彩度高的椭圆较大,色差容限与彩度的变化成正比。并引入了明度权重因子l和彩度权重因子c,以适应不同应用的需求。CMC(l:c)的色差表达式为:

其中,△L*ab、△H*ab和△C*ab,为CIELAB确定的明度差、彩度差和色调差;SL、SC和SH分别为明度、彩度和色调的权重函数;L*s和C*ab,s和hab,s均为确定色差的标准样本。明度权重因子和彩度权重因子c与具体应用条件有关,一般情况下c=1。在纺织业中,当l=2时用CMC色差公式计算得到的纺织品色差与视觉感觉相对一致。对于涂料、塑料和油墨等应用,取l=1.4。
CMC色差公式实际上是一个三维空间中的椭球公式,也就是说,用以目标色样的坐标点为中心的一个椭球来表示色差,椭球的大小与样品颜色同目标色的差别有关,也与具体的颜色区域有关,在不同的颜色区域用不同大小和取向的椭球来表示色差。这种计算色差的方式已经被CE确定为今后发展色差公式的一种标准形式,主要的研究重点是如何确定公式中的系数,CIE94色差公式就是这类公式的代表。
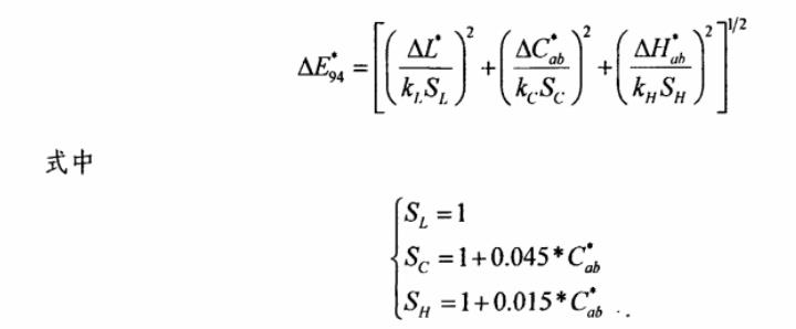
3.CIE94色差公式
色差公式CIE94由RIT的R.S.Berns等人在对RIT-DuPont、Luo-Rigg和Witt这三个基于物体色的中小色差视觉实验数据集进行相关分析和处理的基础上所提出,并由CIE技术委员会TC1-29于1995年推荐为用于工业色差评价,其表达式为:

其中,△L*、△C*ab和△H*ab均由CIELAB色差公式计算得到;△C*ab一般指标准色样的CIELAB彩度,但当被测样品中不分标准色样与测试色样时,则以两者的几何平均值作为△C*ab,即:

在使用CIE94色差公式时,CIE推荐了相应的参考观察条件。当实际的观测条件和应用场合不同于CIE94参考观察条件时,需要用参数因子kL、kC和kH来调整明度、彩度和色调分色差在总色差中的相对权重。
4.CIEDE2000色差公式
为了进一步改善工业色差评价的视觉一致性,CIE专门设立了工业色差评价的色调与明度相关修正技术委员会TC1-47,经过该技术委员会对现有色差模型和视觉评价数据的分析和测试,在2001年提出了一个新的色差评价公式CIEDE2000,该公式相对于先前的公式要复杂许多,但具有更高的预测精度。
因为CIEDE2000色差公式的复杂性,用该公式计算色差时要分四步进行计算,具体步骤如下。
第一步:根据计算CIELAB空间中的L*、a*、b*和C*ab的公式进行运算,如下式所示。

其中:C*ab=[(a*)2+(b*)2]1/2
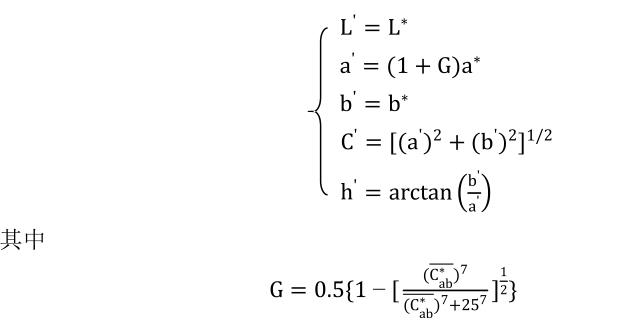
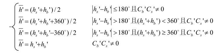
第二步:计算出a'、C'和h'。

是样品对中两个色样的算术平均值,在计算h'时,需要根据色调角所在象限即a'和b'的正负取值来确定,如下式。

第三步:计算△L'、△C'、△H'。

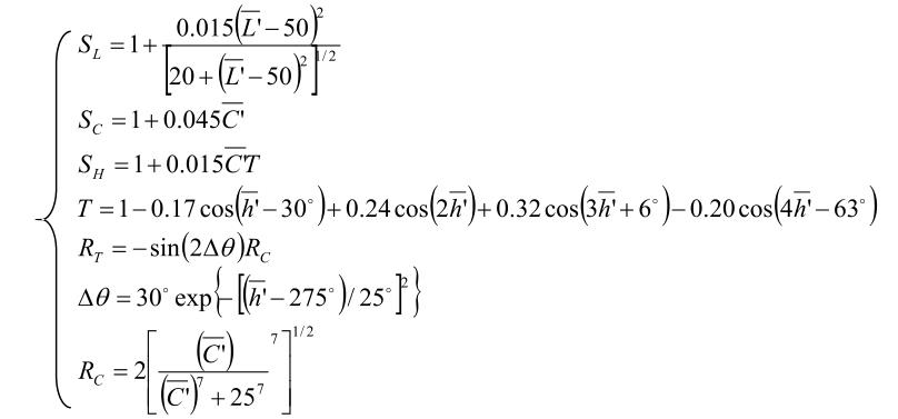
第四步:计算CIEDE2000色差△E00。

其中:

在上式中,
分别是样品对中两个色样L'、C'和h'值的算术平均值。在计算h'平均值时,若两个颜色的色调角位于不同象限里,需要特别注意,一面出错。因此,为了准确地计算平均色调角h',建议采用下列换算公式,如下所示:

CIEDE2000 色差公式中的参数因子KL、KC、KH仍用于修正实际观测实验条件的变化,根据具体的色差评价环境条件,采用与前述相关色差公式中类似的方法进行分析和定义,因此沿用CIE94色差公式的参照条件,来确定CIEDE2000色差公式的参数因子KL=KC=KH=1。