为了定量地表达自然界丰富多样的色彩,人们借助于数学坐标,先后提出了各种各样的颜色空间,在颜色空间中,颜色由三维坐标表示,目前,LAB颜色空间是色差仪中使用最广泛的一种颜色空间。那么,Lab颜色空间什么意思?色差仪基于Lab颜色空间的色差公式有几个?

Lab颜色空间什么意思?
CIELab全称CIE1976 Lab颜色空间,是由CIE-XYZ 颜色空间进行非线性转换得到的W*U*V*空间进一步完善而产生的,CIE-XYZ 是一个非均匀的颜色空间,对于颜色的描述和人眼的感觉相差较大,而CIE Lab颜色空间是均匀的,当L、a、b这三个值变化幅度相同时,带来的人眼视觉上的变化幅度也不大。因此CIE Lab颜色空间常作为颜色质量评价的目标空间。L代表亮度,a和b代表色度指数,L、a、b构成的颜色空间如下图所示。

L代表亮度值,取值范围0~100,100亮度最高,0是没有亮度,L轴上的颜色点从亮度0到亮度100表示从黑到白的颜色。CIELab颜色空间上的点距离亮度轴越远,代表颜色越饱和。a和b代表色度轴,范围是-128-127,从a到-a表示红色变到绿色,同理,从b变到-b是从黄色到蓝色。
色差仪基于Lab颜色空间的色差公式介绍:
1.CIELAB色差公式
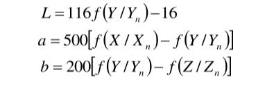
在CIELAB颜色空间内,对颜色的表达需要确定该颜色在由明度轴L、红-绿轴a和黄-蓝轴b构成的立体色空间内的位置坐标,因此其空间内任意两个颜色的色差值△E*ab由它们的欧氏距离的远近决定,即:△E*ab=[(△L)2+(△a)2+(△b)2)]1/2。
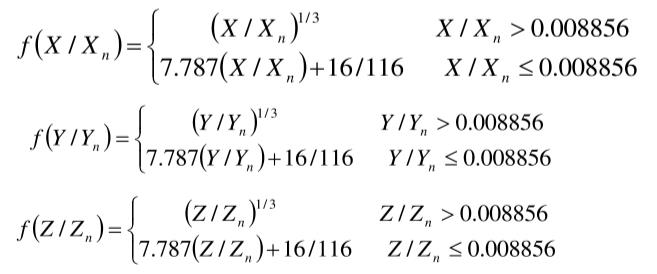
其中,式中的L、a和b可由各颜色的三刺激值X,Y,Z根据以下公式变换而来:

其中:

式中Xn,Yn,Zn代表CIE标准照明体经由完全漫反射体反射形成的白色刺激的三刺激值。
CIELAB色差公式简化了以往色差计算上的繁琐,使用该色差公式进行计算时,只需测得两个颜色的三刺激值即可。由于颜色的三刺激值的大小反应的是人眼对颜色的感知强弱,因此该色差值与人眼的相关性得到了加强。
2.CMC(l:c)色差公式
英国染色家学会推荐使用的CMC(l:c)色差公式引入了彩度参数因子c和明度参数因子l,同时修正了在深色区和中性色区目测色差结果与测量结果偏差较大的缺陷。
其色差公式如下:

其中:

其中:

为了让CMC(l:c)色差公式的计算色差能够符合人眼的视觉特性,可以在不同应用过程下改变彩度参数因子c和明度参数因子l。经过大量测量实验数据统计表明,对纺织产品彩度进行质量评价时,采用l:c的值为2:1;当需要对印刷品颜色进行人眼视觉色差评价时,推荐比例为1:1,计算得到的色差值更符合人眼辨别特性。
与CIELAB色差公式相比,CMC(l:c)引入了可调节的参数因子,使的色差公式的适应性更强,这也扩大了其使用范围并且提高了测量的准确性。总的看来,CMC(l:c)明确了明度和彩度对色差的影响关系,更好的适应了人眼视觉对颜色的评价,它所提出的参数因子的思想为后来色差公式的发展提供了很好的借鉴。
3.CIE94色差公式
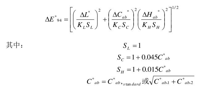
1995年CIE根据其工业色差评估技术委员会对现有工业应用的物体色色差评价标准评估的报告提出了 CIE1994色差模型。其色差公式为:

CIE94色差公式中△L*,△C*ab,△H*ab分别表示两种颜色间的明度差、彩度差和色相差。参数因子KL,KC,KH可根据不同的评价对象和评价条件选择不同数值,参考条件下的参数因子数值均为1。当观察条件改变时,可以对各参数进行单独改变以适应视觉上每个颜色分量(明度、彩度、色相)的变化。
CIE94色差公式沿用了变化参数的思想,对关系颜色差别的三要素明度、彩度和色相给出了更好的参考。常用的参考数值仅仅对明度的取值进行改变,例如,评价纺织品是明度的参数因子取值为2,而在印刷行业中推荐的明度参数因子的取值为1.4,这两种情况下其他两者的取值与参考条件下的取值相同。
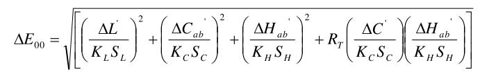
4.CIE2000色差公式
CIE于2001年向外界推荐CIE2000色差公式进行色差计算和颜色视觉实验,该公式可简称为CIEDE2000。CIE2000色差公式融合了之前色差公式与视觉评价数据的优势,该公式进一步优化了色差评价的视觉一致性。CIEDE2000是现今最新的色差公式,计算过程比CIE94要更复杂,同时也对测量的精度有了很大的提高。
其色差符合△E00的计算式如下:

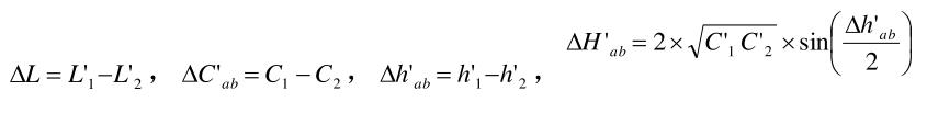
其色差公式中的△L',△C'ab,△H'ab分别为明度差、彩度差和色相差,需要用以下公式求得:

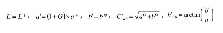
其中的明度值、彩度值和色相值需要借助CIE1976L*a*b*色差公式得到L*,a*,b*值,再利用以下公式求得:

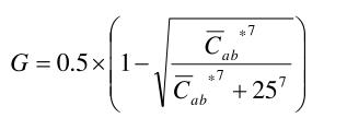
式中G作为色相轴a*轴的调整因子,是以彩度变量的函数值:

其中C*ab为标样彩度与测评样彩度的算术平均值。
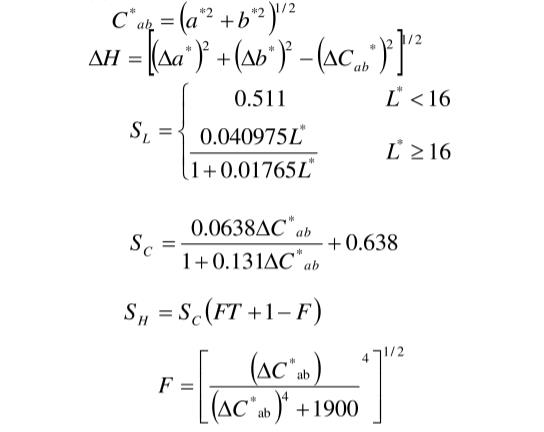
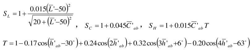
SL,SC和SH分别为明度值L,彩度值C和色相值H的权重函数,它们通过调整自身已达到影响色差公式对颜色均匀性评价的作用。其计算式如下:

式中L',C'ab,h'ab分别为标样与测评样的明度、彩度和色调的算术平均值。
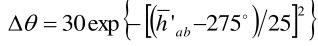
总色差△E00计算公式中RT函数用来校正蓝色区域色度椭圆色相角偏转,用以下公式求得:

公式中的△θ是由色相决定的旋转角度,计算公式如下:

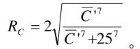
Rc是随着彩度变化而改变的旋转幅度,计算式如下:

CIEDE2000在进行色差计算的过程中有机地结合各个色差公式对颜色空间均匀性和对颜色的人眼视觉一致性地描述,并且引入了旋转函数用来修正蓝色区域。