标准光源箱应用于多种行业,是一种提供模拟多种环境灯光的照明箱,主要用于检测货品的颜色,使试样、 生产、 质检、 验收在相同的标准光源下进行, 准确校对货品的颜色偏差, 保证货品颜色的品质符合要求。本文主要分析标准光源箱的光照度和相关色温的校准方法。感兴趣的用户不妨来看看。

1.校准设备
照度计: 照度测量范围为 0.1~999 90 lx , 准确度等级为 I 级; 色温测量范围为 2 300~20 000 K , 准确度等级为 ±100 K。
2、校准过程
启动光源15min后,在仪器内部操作面中心处对标准光源箱进行测量。将照度计探头置于校准点,探头向上,测量光照度和相关色温。读数时应将手支离探头,连续测量3次,计算照度值和相关色温的平均值。
光照度平均值按下式计算:

式中:
Eav--光源的光照度平均值,Lx;
Ei--光源各校准点光照度实测值,lx;
n--校准点数,n=9。
相关色温平均值按下式计算:

式中:
Ti--光源各校准点相关色温实测值,K;
n--校准点数,n=9。
不均匀率的测量及计算
在工作台内均匀布置9个校准点,除中点外,其余各点距连线约10cm。将照度计探头置于校准点,探头平放在光源工作台上,探头向上,逐一测量各点的照度和色温。读数时,应将手远离探头,待显示的数字稳定后再读数。在各校准点的实测值中,取照度最小的值为该点照度,取相关色温与光源标称值偏离较大的色温值为该点的色温。具体测量数据见表1和表2。
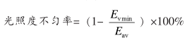
光照度不匀率按下式计算

式中:
Evmin--各校准点光照度的最低值,lx;
Eav--光照度平均值,lx;
相关色温不均率按下式计算;

式中:
Tcmin--各校准点相关色温的最低值,K;
Tcav--相关色温平均值,K;

